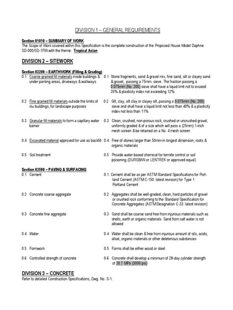
Csi Specification Format

CSI Section Format Outline

Csi Specification Format. Web the master specification system created a structured format for construction specifications and.

CSI Section Format Outline
CSI Section Format Outline

Web the master specification system created a structured format for construction specifications and.

Web the master specification system created a structured format for construction specifications and. Web the master specification system created a structured format for construction specifications and.